If you’ve ever struggled with understanding conic sections, fear not! This article will explore the real-world applications of conic sections worksheet in a way that is easy to grasp.
Conic sections are geometric shapes formed by intersecting a cone with a plane. They have practical applications in various fields such as astronomy, engineering, and art.
real world applications of conic sections worksheet
Exploring Real World Applications of Conic Sections Worksheet
One common application of conic sections is in satellite dish design. The shape of the dish is a parabola, which allows signals to be collected and concentrated at the focal point.
Another real-world use is in optics, where lenses and mirrors are often shaped as ellipses, hyperbolas, or parabolas to control the reflection and refraction of light.
In architecture, conic sections are employed in the design of domes and arches. The curves of these structures follow the principles of conic sections to distribute weight evenly and provide stability.
Conic sections are also utilized in the design of roller coasters. The curves and loops of the tracks are carefully calculated using conic sections to ensure a thrilling yet safe ride for passengers.
By understanding the real-world applications of conic sections, you can appreciate the beauty and practicality of these geometric shapes in everyday life.
Word Problems Conic Parabolas YouTube
Conic Sections Applications Math Lib Activity All Things Algebra
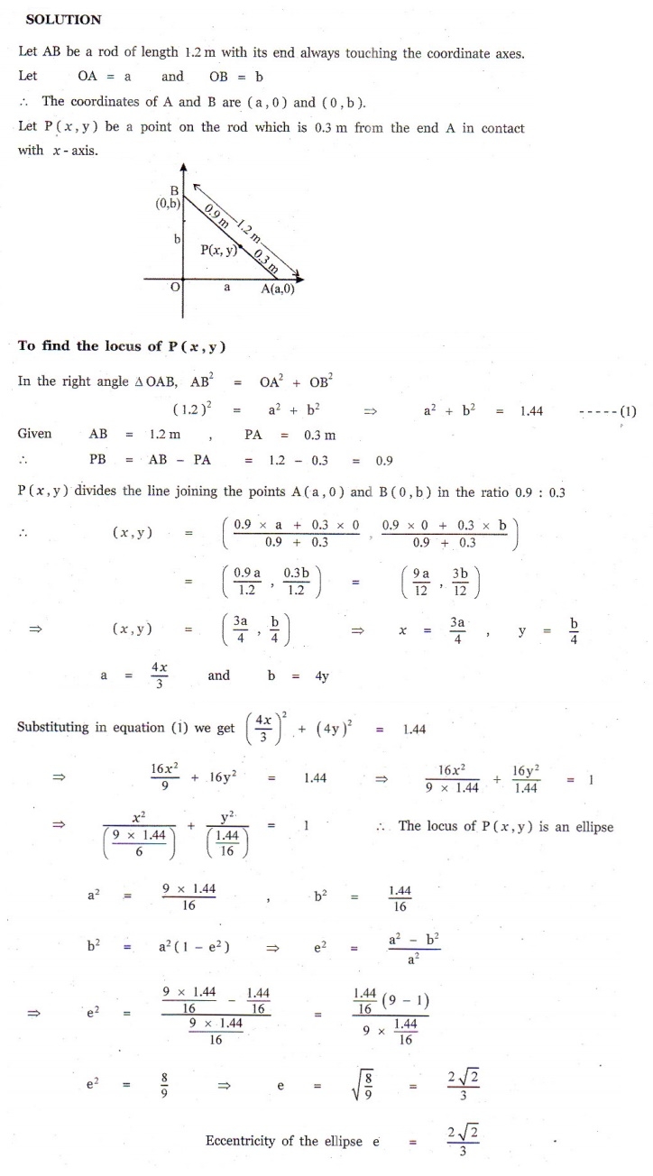
Exercise 5 5 Real Life Applications Of Conics Problem Questions With Answer Solution
Day 3 HW 11 Circle Word Problem Is The Cell Phone Inside The Range Of Coverage YouTube
Conic Sections Applications Math Lib Activity All Things Algebra





