Are you looking for a comprehensive AP Calculus FRQ worksheet with solutions in PDF format? Look no further! We have compiled a top-notch resource to help you ace your calculus exam with ease.
Mastering the AP Calculus exam is no easy feat, but with the right practice materials, you can boost your confidence and improve your scores. Our worksheet includes a variety of FRQs along with detailed solutions to guide you through each problem.
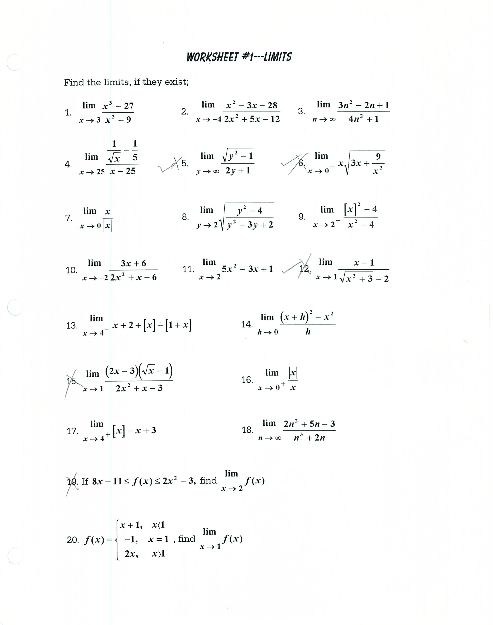
ap calculus frq worksheet with solutions pdf
Unlock Your Potential with Our AP Calculus FRQ Worksheet with Solutions PDF
Whether you’re struggling with limits, derivatives, or integrals, our worksheet covers all the essential topics tested in the AP Calculus exam. Each question is designed to challenge your understanding and enhance your problem-solving skills.
By practicing with our worksheet, you’ll gain valuable insights into the exam format and learn how to approach different types of FRQs effectively. With step-by-step solutions provided, you can easily track your progress and identify areas for improvement.
Don’t let the AP Calculus exam intimidate you. With our comprehensive worksheet at your disposal, you’ll be well-equipped to tackle any FRQ that comes your way. Download our PDF today and start your journey towards calculus success!
Take your calculus skills to the next level and conquer the AP exam with confidence. Our AP Calculus FRQ worksheet with solutions PDF is your key to unlocking academic excellence. Download now and pave the way for a brighter future!
8 3 Using Accumulation Functions And Definite Integrals In Applied Contexts Calculus
7 2 Verifying Solutions For Differential Equations Calculus
Assignments Flick s AB Calculus
7 6 General Solutions Using Separation Of Variables Calculus
Ap Calculus Worksheets Fill Online Printable Fillable Blank PdfFiller





