Are you looking for a fun and interactive way to practice multiplying polynomials? Look no further than the multiplying polynomials worksheet! This handy tool is a great resource for students of all levels to sharpen their skills and boost their confidence in algebra.
With a multiplying polynomials worksheet, you can tackle a variety of problems that will help you master the art of multiplying polynomials. Whether you’re a beginner or an advanced student, this worksheet is a valuable tool to enhance your understanding of this important algebraic concept.
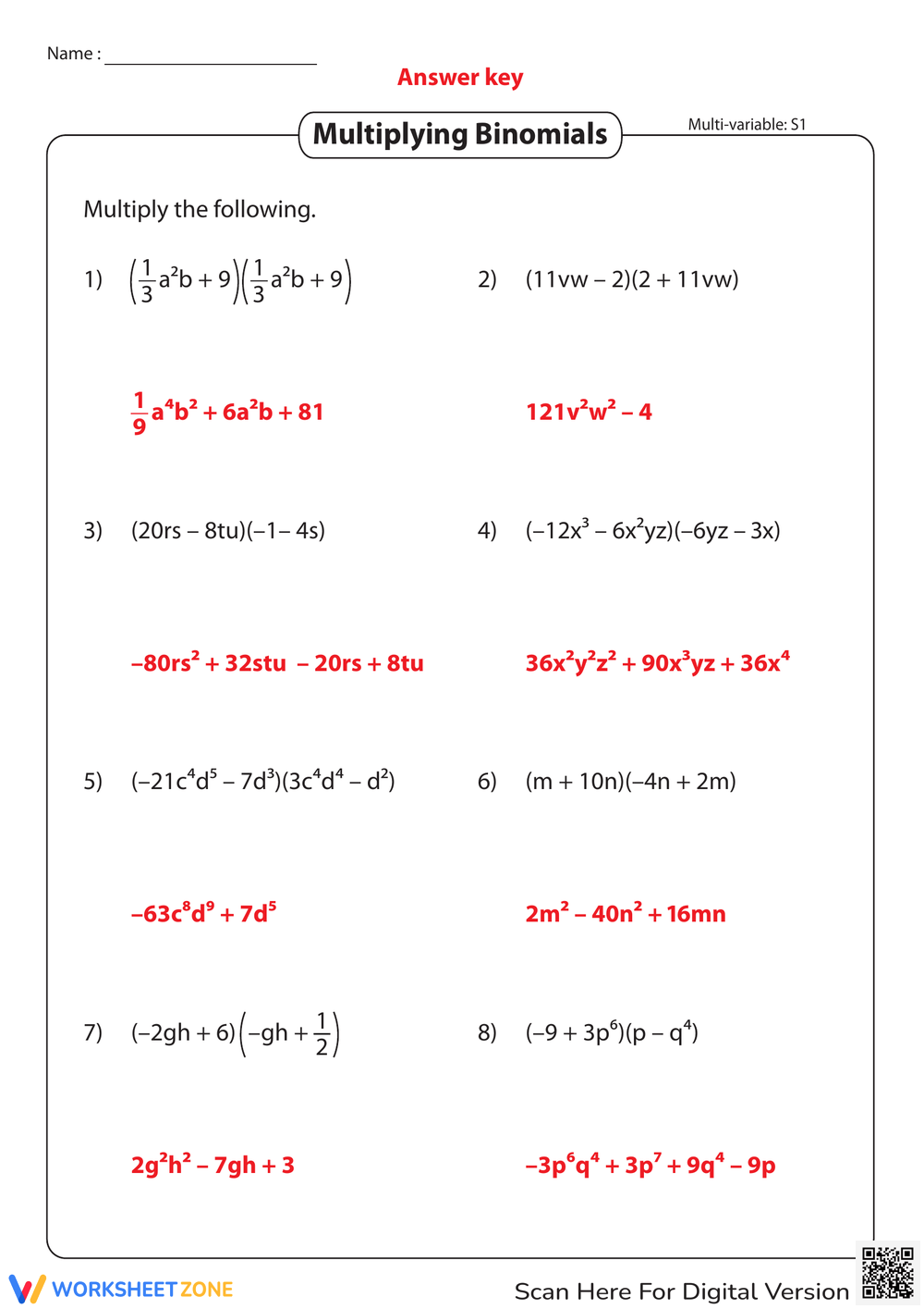
multiplying polynomials worksheet
Unlock Your Potential with a Multiplying Polynomials Worksheet
By working through the problems on a multiplying polynomials worksheet, you’ll gain a deeper understanding of the rules and techniques involved in multiplying polynomials. This hands-on approach will help you build confidence and improve your problem-solving skills in algebra.
Furthermore, practicing with a multiplying polynomials worksheet can help you identify any areas where you may need additional support or practice. By pinpointing your weaknesses, you can focus your efforts on improving those specific skills and ultimately become a more proficient algebra student.
So why wait? Take your algebra skills to the next level with a multiplying polynomials worksheet today! Whether you’re studying for a test or simply want to strengthen your math abilities, this worksheet is a fantastic resource to help you achieve your academic goals.
Multiplying Polynomials Notes And Worksheets Lindsay Bowden Worksheets Library
Polynomials Practice Multiplying With Key Included Worksheet
Multiplying And Simplifying Polynomials Worksheet 7th Grade PDF Worksheets
Multiplying Polynomials Worksheets Printable With Answers Mashup Math
Printable Multiplying Polynomials Worksheets





