Are you looking for a fun and interactive way to practice completing the square in algebra? Look no further! Our completing the square worksheet is just what you need to sharpen your skills and boost your confidence in this important math concept.
Whether you’re a student struggling with algebra or a teacher looking for engaging resources for your students, our completing the square worksheet is the perfect tool to help you master this topic. With clear instructions and plenty of practice problems, you’ll be completing the square like a pro in no time!
completing the square worksheet
Mastering Completing the Square Worksheet
Our completing the square worksheet covers everything you need to know to succeed in this topic. From step-by-step instructions on how to complete the square to challenging problems that will put your skills to the test, this worksheet has it all.
By practicing with our completing the square worksheet, you’ll not only improve your algebra skills but also build your problem-solving abilities and boost your confidence in math. So why wait? Start practicing completing the square today and see the difference it can make in your understanding of algebra!
Don’t let completing the square intimidate you any longer. With our easy-to-use completing the square worksheet, you’ll be well on your way to mastering this important algebra concept. So grab your pencil, get ready to learn, and watch your math skills soar!
Completing The Square Worksheet Cazoom Maths Worksheets
Completing The Square Worksheets Printable With Answers Mashup Math
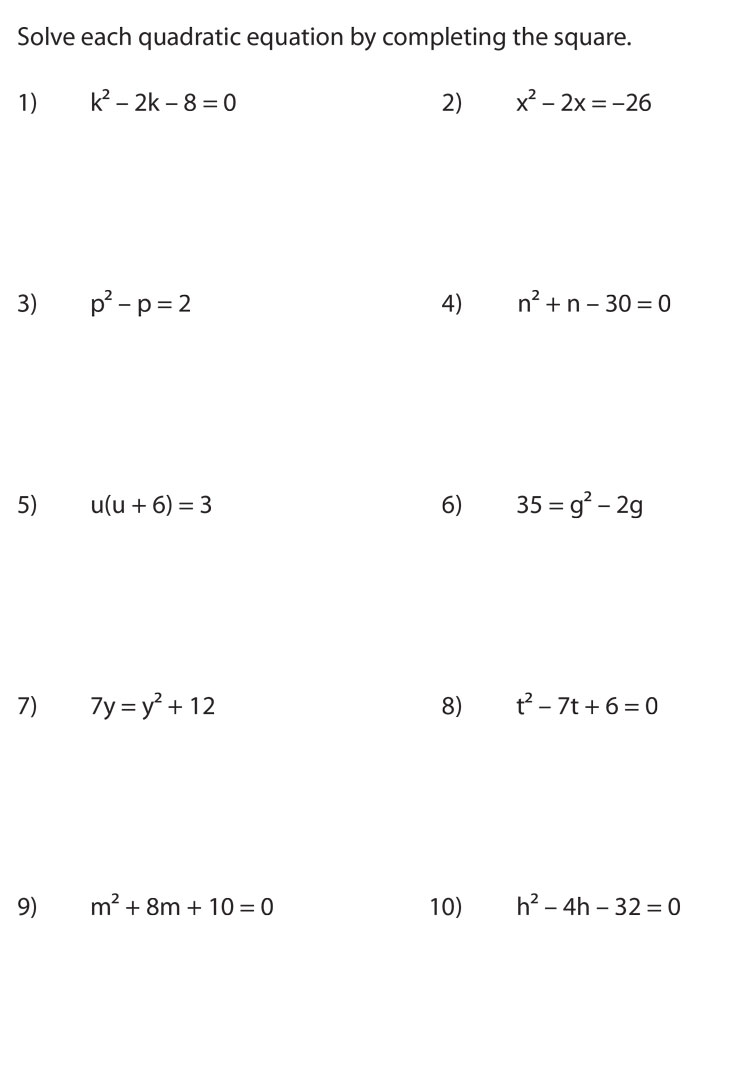
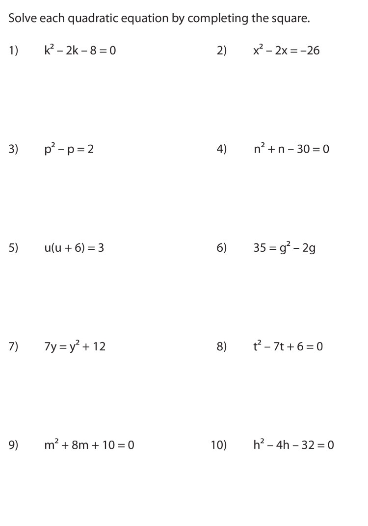
Solving Quadratic Equations D By Completing The Square Worksheet Fun And Engaging Algebra I PDF Worksheets
Completing The Square Formula How To Solve Equation Example Steps
Complete The Square Worksheets Algebra 1 Quadratic Functions Worksheets Made By Teachers





