Are you looking for an AP Calculus FRQ worksheet in PDF format to help you ace your upcoming exam? Look no further! We’ve got you covered with a comprehensive resource that will guide you through the most challenging problems.
Preparing for the AP Calculus exam can be daunting, but with the right practice materials, you can feel confident and ready to tackle any question that comes your way. Our AP Calculus FRQ worksheet PDF is designed to help you master the skills needed to succeed on test day.
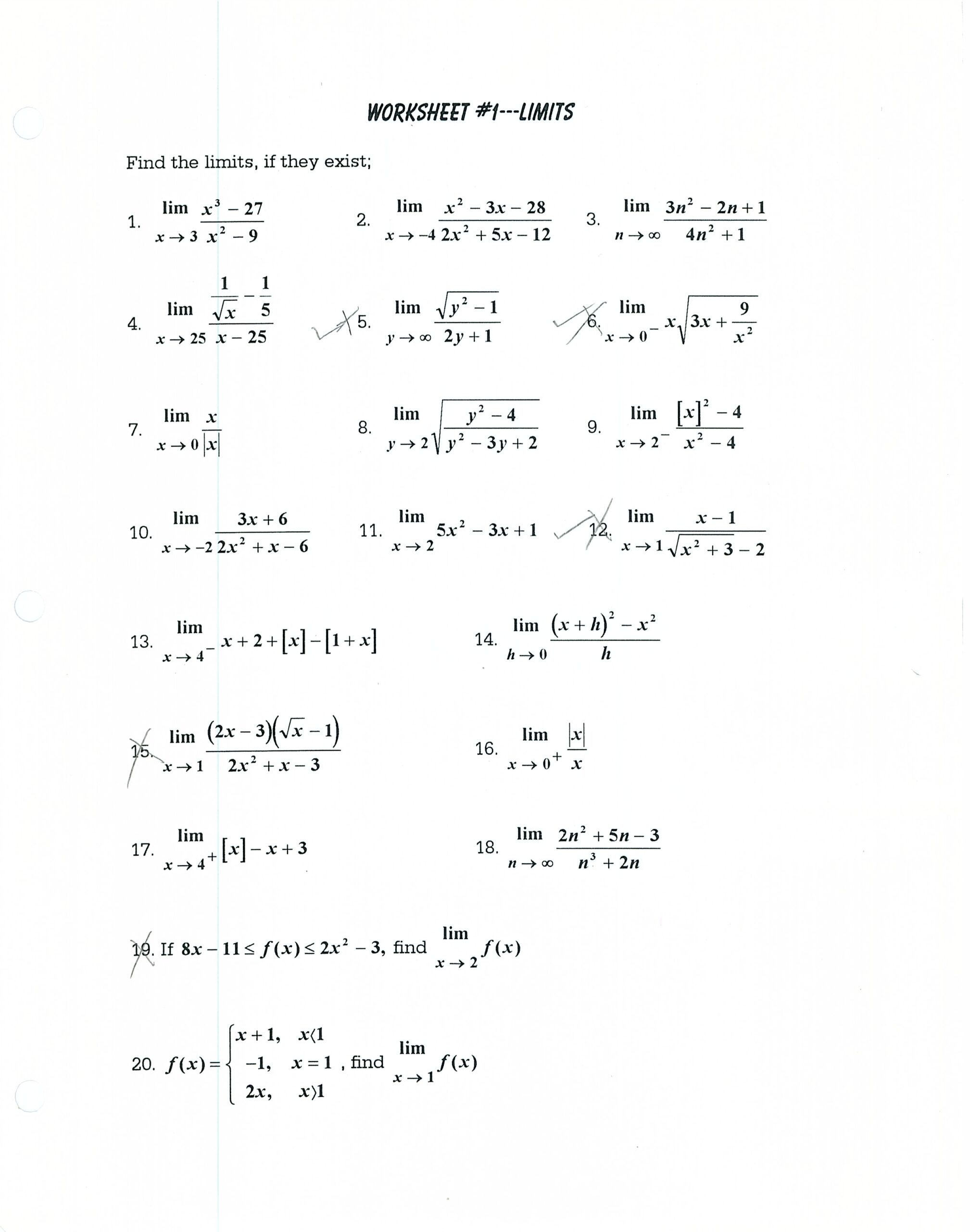
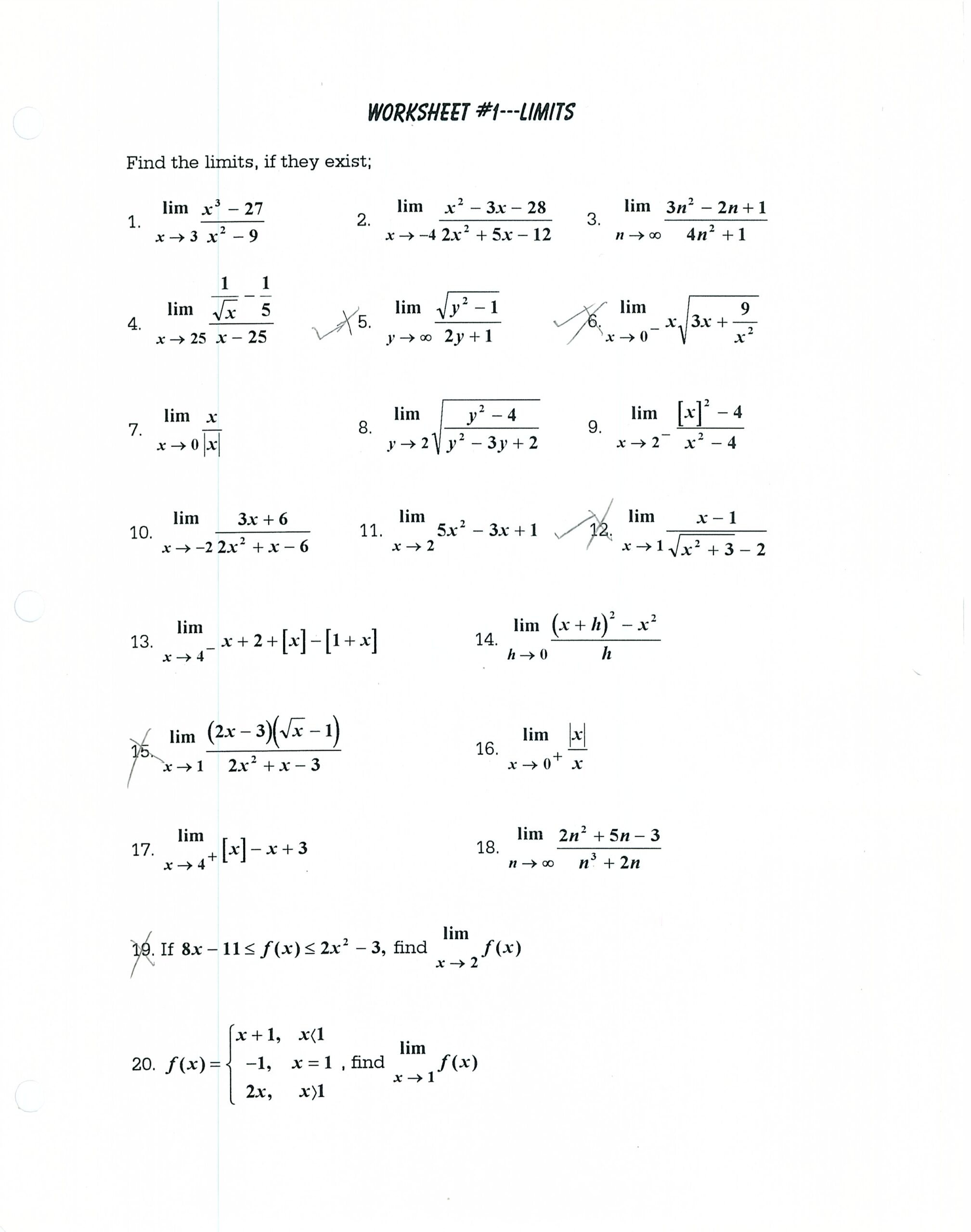
ap calculus frq worksheet pdf
Mastering AP Calculus FRQ with our Worksheet PDF
Our worksheet covers a wide range of topics, from differential calculus to integral calculus and everything in between. Each question is carefully crafted to mimic the format and difficulty level of the actual exam, so you’ll be well-prepared for whatever comes your way.
With detailed explanations and step-by-step solutions provided for each problem, you’ll be able to pinpoint your strengths and weaknesses and focus your study efforts where they’re needed most. Whether you’re struggling with related rates or optimization problems, our worksheet has you covered.
Don’t let the AP Calculus exam stress you out – arm yourself with the best resources available and tackle it head-on. Download our AP Calculus FRQ worksheet PDF today and start your journey towards a top score!
8 2 Connecting Position Velocity And Acceleration Of Functions Using Integrals Calculus
8 3 Using Accumulation Functions And Definite Integrals In Applied Contexts Calculus
Assignments Flick s AB Calculus
AP Calculus AB Cheat Sheet Free PDF Unit Wise Examples
Ap Calculus Worksheets Fill Online Printable Fillable Blank PdfFiller





